Tarot Divination Without Tarot Cards
Tarot Divination Without Tarot Cards
- Introduction
- Minor Arcana Charts
- Minor Arcana / Dice Chart
- Minor Arcana / Astragali Chart
- Divination Techniques
Introduction
As mentioned in the Introduction, there is circumstantial evidence that the Tarot derives from an earlier system of divination using dice or astragali (knucklebones), both of which were used for divination in ancient times. Although there is no surviving set of correspondences between Tarot cards and dice or astragali, I have reconstructed a system that works quite well. The dice and astragali correspondences for the Major Arcana were given in the Introduction and in the commentaries on the trumps. The correspondences to the Minor Arcana are given in the following charts. In the remainder of the chapter I present a number of techniques for doing Tarot divination without Tarot cards by using dice, astragali, tokens and similar objects.
Minor Arcana Charts
Minor Arcana / Dice Chart
| Wands | Swords | Cups | Pentacles |
|---|---|---|---|
| 1 | 113 | 116 A | 166 A |
| 2 | 123 | 126 | 156 |
| 3 | 133 | 136 | 146 |
| 4 | 223 | 226 | 155 |
| 5 | 233 | 236 | 145 |
| 6 | 333 | 336 | 144 |
| 7 | 112 | 115 | 266 |
| 8 | 122 | 125 | 256 |
| 9 | 222 | 225 | 255 |
| 10 | 111 A | 114 | 366 |
| E | 124 | 224 | 244 |
| V | 134 | 234 B | 344 |
| O | 135 | 334 | 345 B |
| I | 235 B | 335 | 355 |
A Apex of Greater Tetrahedron: The Initial Monad (1) is at the apex for the Intermediate Elements (Air & Water = Swords & Cups). The Final Monad (10) is at the apex for the Extreme Elements (Fire & Earth = Wands and Pentacles).
B Apex of Lesser Tetrahedron: The element corresponding to the suit and rank is at the apex (King/Wands = Fire, Knight/Swords = Air, Queen/Cups = Water, Page/Pentacles = Earth).
Notes on Dice Correspondences
The Minor Arcana can be arranged in a Greater Tetrahedron, six on a side. The faces and interior of this Tetrahedron define all possible throws of three dice. Its four apices correspond to the throws 111, 116, 166 and 666. The regions of the Tetrahedron around these four apices are assigned systematically to the pip cards of each suit in accord with its element (see below): Wands at 111, Swords at 116, Cups at 166, Pentacles at 666. The throws in the center of the Tetrahedron’s faces and in its interior are assigned to the court cards. The throw for the court card corresponding to the element of the suit (marked # in above chart) is assigned to the apex of the Lesser Tetrahedron (throws 234, 235, 245, 345) aligned with the apex of the Great Tetrahedron for that suit. The other court cards are assigned based on the paths (see below) from the already-assigned throw. (At a future date, figures will be provided to make the geometry of the Tetrahedra clearer.)
When the throws corresponding to two cards differ in just one die (e.g. 124 and 134), we say there is a path between those two cards. These paths are very important for understanding the structure of the Minor Arcana. For example, there is an ascending or descending path through the court cards of each suit (e.g. 124 - 134 - 135 - 235 in Wands). Similarly, if you diagram the paths among the pip cards of a suit you will learn much about the structure of the Pythagorean Decad. For example, paths connect the three Unities (Initial = 1, Hidden = 7, Final = 10). Also, do not neglect path between the suits, which show many interesting connections.
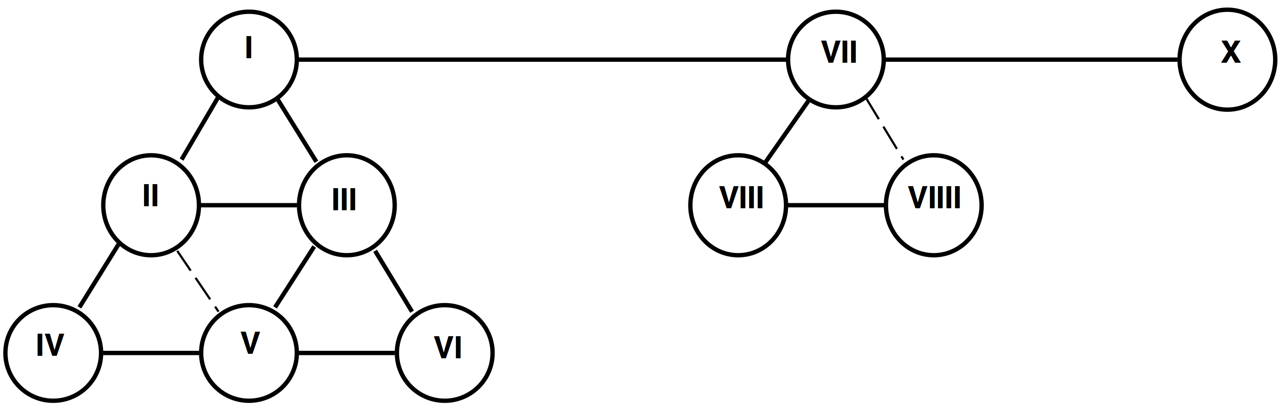
The pip cards are organized into three connected triangles of size 6, 3 and 1, which are the primary structure of the Decad:
The first triangle is 1; 2, 3; 4, 5, 6. It begins with the Initial Unity (1) and comprises both the First Triad (1, 2, 3) culminating in the First Perfection (3), and the Second Triad (4, 5, 6) culminating in the Second Perfection (6). The second triangle corresponds to the Third Triad (7, 8, 9) beginning with the Hidden Unity (7) and culminating in the Third Perfection (9). The third triangle corresponds to the Final Unity and Perfection (10). The Triad structure is shown in the chart above. (See the commentary on the Minor Arcana for these terms and for the structure of the Decad.)
The structure of the Minor Arcana is also revealed through the sums of the dice throws (e.g., a throw of 124 sums to 7). For example, the apices of the Greater Tetrahedron are assigned to the suits on the basis of the increasing density of their elements (111 = 3 = Fire = Wands, 116 = 8 = Air = Swords, 166 = 13 = Water = Cups, 666 = 18 = Earth = Pentacles). Also, in the court cards, the sums increase from Page through King, representing their potency. Further, the sums are increasing in each triangle in the pips of the Wands and Swords (which correspond to active, light, ascending elements), and decreasing in the Cups and Pentacles (passive, heavy, descending elements).
Observe also the ranges of the sums for the pips of each suit increase with density: Wands: 3 - 9, Swords: 6 - 12, Cups: 9 - 15, Pentacles: 12 - 18. For the light elements (Fire, Air), the 10 has the smallest sum; for the heavy elements (Water, Earth), the 10 has the greatest sum. The ranges for courts also increase with density: Wands: 7 - 10, Swords: 8 - 11, Cups: 10 - 13, Pentacles: 11 - 14.
Minor Arcana / Astragali Chart
| Wands | Swords | Cups | Pentacles | |
|---|---|---|---|---|
| 1 | 44666 | 44444 | 33333 | 11133 |
| 2 | 34666 | 34444 | 33334 | 11134 |
| 3 | 33666 | 33444 | 33344 | 11144 |
| 4 | 14666 | 14444 | 33336 | 11136 |
| 5 | 13666 | 13444 | 33346 | 11146 |
| 6 | 11666 | 11444 | 33366 | 11166 |
| 7 | 46666 | 44446 | 13333 | 11113 |
| 8 | 36666 | 34446 | 13334 | 11114 |
| 9 | 16666 | 14446 | 13336 | 11116 |
| 10 | 66666 | 44466 | 11333 | 11111 |
| E | 34466 | 14466 | 13366 | 13346 |
| V | 33466 | 13466 | 11366 | 13344 |
| O | 33446 | 11466 | 11346 | 11344 |
| I | 13446 | 11446 | 11336 | 11334 |
Notes on Astragali Correspondences
As mentioned in the Introduction, there are 56 roles of five astragali, and so a Minor Arcanum can also be chosen in this way. I have not derived a separate system of correspondences for the astragali, but used a simple correspondence between throws of astragali and dice. Here is the procedure. Recall that the four sides of an astragalus are labeled 1, 3, 4 and 6. In a roll of five astragali, let A be the number of 1s in the throw, C the number of 3s, and D the number of 4s (the number of 6s can be ignored, since it’s determined by the others). Write down the three numbers A+1, C+A+1 and D+C+A+1, and that will be the corresponding dice throw. For example, if we throw the astragali 14444, then A = 1, C = 0 and D = 4. Hence we write down the numbers 1+1, 0+1+1, 4+0+1+1, and we see that the corresponding dice throw is 226.
It is also possible to convert from a dice throw to the corresponding astragali throw. Roll the three dice and write down the numbers in increasing order (as they are shown in the dice chart). Suppose the three numbers are XYZ. The corresponding astragali have X-1 1s, Y-X 3s, Z-Y 4s and 6-Z 6s. For example, the roll 226 has 2-1 1s, 2-2 3s, 6-2 4s and 6-6 6s, so it is 14444.
The remarks made about paths between dice throws also applies to astragali throws, as do the remarks about the structure of the Minor Arcana (the Triads etc.). (The astragali throws are not, however, naturally arranged in a tetrahedron.)
Divination Techniques
- Casting Dice or Astragali
- Casting Pebbles
- Drawing Contrasting Tokens
- Drawing Marked Tiles
- Casting Dodecahedra
Casting Dice or Astragali
For choosing a Major Arcanum, throw two ordinary (six-sided) dice (or roll one die twice). Ignoring the order (e.g. 45 is the same as 54), look up the throw in either the Fire or Water Hexactys (e.g., 45 is 17.Moon in Water). To choose a Minor Arcanum, roll three dice (or one three times). The order is irrelevant, so 123, 213, 321 are all the same throw, shown as 123 in the above chart (2 Wands). There is no combination corresponding to 0.Fool. The simplest solution to this problem is to treat the first duplicate occurrence of a combination as the Fool. So, the first time 45 turns up in a reading, it is 17.Moon; the second time it is 0.Fool. Other duplicate occurrences (of the same combination or other combinations) are ignored (i.e. you reroll). To use astragali to choose a Major Arcanum, roll three astragali or one astragalus three times. Record the numerical values of the sides in increasing order (e.g. 334) and look up the corresponding trump (17.Moon). To choose a Minor Arcanum, roll five astragali (or one astragalus five times) and look at the chart in this chapter. Recall, however, that the astragali can produce only 20 trumps; 21.World is not possible. This problem is solved, again, by duplicate occurrences. If the first duplicate sums to an even number it is 0.Fool, if it sums to an odd, it’s 21.World. A second duplicate occurrence is interpreted as the opposite of the first, regardless of whether it is even or odd (so if the first was Fool, the second is World, and vice versa). Any duplicates after the second require a reroll.
Casting Pebbles
For choosing a Major Arcanum you may toss two pebbles, beans etc. on a surface divided into six equal areas marked 1 - 6 and consult the dice charts. For choosing a Minor Arcanum, throw three pebbles. Or you can use the astragali correspondences. To choose a Major, toss three pebbles or beans onto a surface divided into four equal areas labeled 1, 3, 4, 6; for choosing a Minor, toss five pebbles. Interpret in the same way as dice or astragali.
Drawing Contrasting Tokens
You can also choose a Major or Minor Arcanum by drawing from a collection of two kinds of tokens that cannot be distinguished by feel; I will refer to them as white balls and black balls. To choose a Major according to dice correspondences you will need two white balls and five black balls in a jar, bag etc. You then draw the objects from the jar and keep track of the order. The number of whites you draw before the first black is the number of aces you rolled, the number of whites before the second black is the number of deuces, and so forth; the number of whites remaining after the last black is drawn is the number of sixes you rolled. For example, if you draw BWBBWBB, then you have one 2 and one 4, or 24 (9.Fortitude in Water Hexactys). For choosing a Minor Arcanum, use three white balls and five black. For example, if you draw BWWBBWBB, then you have two 2s and one 4, or 224 (Page of Swords).
One can also get the effect of rolling five astragali to choose a Minor Arcanum by using five black balls and three white balls. Select them in order from a jar or bag. The number of 1s is the number of blacks selected before the first white. The number of 3s is the number of blacks between the first and second whites. The number of 4s is the number of blacks between the second and third whites. The number of 6s is the number of blacks after the third white. It will be seen that this is exactly the same procedure for using balls to get three dice rolls, so the sequence of drawn balls determines both a roll of three dice and a roll of five astragali. For choosing a Major Arcanum, use the three white balls, but only three black balls. Interpret as above.
Drawing Marked Tiles
For choosing a Major Arcanum according to the dice, use seven tiles or cards marked 1, 2, 3, 4, 5, 6, A, or any other seven signs (e.g. the seven planetary signs or the seven Greek vowels). Draw two tiles from a jar or bag. If you draw the A tile, it means to duplicate the numbered tile. So drawing 5A is the same as rolling 55 (19.Judgement in Water). To choose a Minor Arcanum, use a set of eight tiles or cards marked 1, 2, 3, 4, 5, 6, A, Z. (A and Z can be Alpha and Omega; any eight distinct symbols will do.) Draw three of these tiles at the same time. The A tile means “duplicate the smallest number drawn” and the Z tile means “duplicate the largest number drawn.” So drawing 24Z is the same as 244, and 52A is the same as 225. Drawing 4AZ is the same as 444 (since 4 is both the smallest and the largest number drawn).
For selecting a Major Arcanum according to the astragali, use six tiles marked 1346AZ. Draw three tiles. As for the dice, A means to duplicate the least number drawn and Z means to duplicate the greatest number drawn. So 36A is 336 and 4AZ is 444. For choosing a Minor, use a set of eight tiles marked 1, 3, 4, 6, A, B, C, D (or some similar series of four, such as I, II, III, IIII; or use cards from a deck of ordinary playing cards). Draw five tiles and arrange them according to the order 1346ABCD. So, we might have drawn 14ABD. Then, in order, replace A by the first number in the series, B by the second, C by the third and D by the fourth. In this case, in 14ABD we replace A by 1 to get 141BD, B by 4 to get 1414D, and D by 4 (in the fourth position) to get 14144. Therefore the throw is 11444.
Casting Dodecahedra
Divinatory dodecahedra (twelve-sided balls) are known from ancient times. It is interesting that there are exactly 78 throws of two dodecahedra, so the throws correspond to the Tarot cards (Major and Minor Arcana together). Therefore each Tarot card corresponds to either a single Zodiacal Sign or to a pair of Signs. I will leave it to others to work out the correspondence.
Send comments about this page to original author
Last updated: Jan 6, 2018
© 2026 rcanzlovar.com | About | Contact | Privacy Policy |
![]()
![[Greater Tetrahedron image]](../images/Gr-Tet.png)
![[Triads image]](../images/Triads.png)